Отказ от ответсвенности
Обращаем ваше внимание, что вся информация, размещённая на сайте Prowellness предоставлена исключительно в ознакомительных целях и не является персональной программой, прямой рекомендацией к действию или врачебными советами. Не используйте данные материалы для диагностики, лечения или проведения любых медицинских манипуляций. Перед применением любой методики или употреблением любого продукта проконсультируйтесь с врачом. Данный сайт не является специализированным медицинским порталом и не заменяет профессиональной консультации специалиста. Владелец Сайта не несет никакой ответственности ни перед какой стороной, понесший косвенный или прямой ущерб в результате неправильного использования материалов, размещенных на данном ресурсе.
Описание
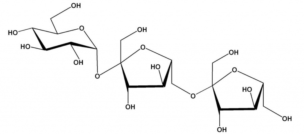
К категории фруктоолигосахаридов (ФОС) относятся природные сахара (глюкоза и фруктоза), связанные короткими и средними цепями. Короткие цепи представляют собой линейные конструкции из 9 или менее молекул фруктозы. Фруктоолигосахариды хорошо растворяются в воде, не образуют кристаллического осадка. В процессе термической обработки вещество может темнеть.
Сладость ФОС составляет около 50% таковой у привычного нам сахара. Поэтому они могут использоваться в качестве более безопасных подсластителей. ФОС включают в состав детского питания, БАДов, кормов для животных. Важным преимуществом считается функция пребиотика. В Японии фруктоолигосахариды входят в состав более чем 500 национальных блюд. Некоторые специалисты считают, что такая особенность питания увеличивает продолжительность жизни и минимизирует смертность населения от рака.
Химический состав и биоактивные свойства
ФОС – низкокалорийные углеводы, которые не расщепляются в желудке и тонком кишечнике, но стимулирует работу нижних отделов. Также фруктоолигосахариды создают питательную среду для полезных микроорганизмов в толстом кишечнике.

В химической формуле чередуются короткие цепи фруктозы и глюкозы. Естественными источниками ФОС становятся фрукты, овощи, злаки. Фруктоолигосахариды обеспечивают максимальное усвоение кальция, что положительно влияет на опорно-двигательный аппарат. Также вещества приносят пользу иммунной системе. ФОС не ферментируются в человеческом организме. Они предназначены для поддержания жизнедеятельности полезной микрофлоры.
Польза для здоровья, применение в медицине
Многочисленные исследования подтвердили положительное влияние на человеческий организм. Их употребляют в профилактических и лечебных целях, для нормализации работы всех органов и систем. ФОС относятся к категории пребиотиков. Главная их польза – восстановление нормальной микрофлоры кишечника. Употребление таких веществ рекомендуется:
- При снижении иммунитета. Регулярное употребление продуктов и БАД с фруктоолигосахаридами помогает снизить частоту простудных заболеваний, повышает сопротивляемость организма.
- При остеопорозе, межпозвоночных грыжах, артрите. Такие вещества способствуют усвоению большего количества кальция, укреплению костей.
- При дисбактериозе. ФОС восстанавливают микрофлору, устраняя такие неприятные симптомы, как метеоризм, боли в животе, жидкий стул. Дозировка при таких заболеваниях подбирается индивидуально.
- При синдроме усталости, гиперактивности, снижении концентрации внимания.
- Для формирования нормальной микрофлоры кишечника у детей. ФОС включают в состав адаптированных молочных смесей.

Особенно важно употребление фруктоолигосахаридов в зрелом и пожилом возрасте, когда наблюдается быстрое вымывание кальция из костей. Регулярное их употребление предотвращает развитие язвенных и опухолевых поражений. Также ФОС можно употреблять при лечении антибиотиками.
Противопоказания и меры предосторожности
Фруктоолигосахариды – полностью безопасные вещества, которые можно употреблять в любом возрасте. Единственным противопоказанием считается индивидуальная непереносимость, при которой прием ФОС вызывает пищеварительные нарушения. Данных о передозировке нет, случаев острых отравлений не зарегистрировано. Однако при употреблении слишком большого количества фруктоолигосахаридов может возникать диарея.
Отказ от ответсвенности
Обращаем ваше внимание, что вся информация, размещённая на сайте Prowellness предоставлена исключительно в ознакомительных целях и не является персональной программой, прямой рекомендацией к действию или врачебными советами. Не используйте данные материалы для диагностики, лечения или проведения любых медицинских манипуляций. Перед применением любой методики или употреблением любого продукта проконсультируйтесь с врачом. Данный сайт не является специализированным медицинским порталом и не заменяет профессиональной консультации специалиста. Владелец Сайта не несет никакой ответственности ни перед какой стороной, понесший косвенный или прямой ущерб в результате неправильного использования материалов, размещенных на данном ресурсе.